Ticaret savaşlarında avantajlı mıyız?
Trump’ın tekrar göreve gelmesiyle birlikte küresel ticaret savaşları yaşanmaya başlıyor. ABD Başkanı Trump’ın, ABD'nin ticari ilişkilerinde karşılıklı olmayan düzenlemelere yönelik kapsamlı bir çalışma talimatı verdiği açıklanmıştı ve bu bağlamda 26.03.2025 tarihinde yayımlamış olduğu kararname ile otomobil ve yedek parçalarına ek gümrük tarifeleri getirileceği belirtilmişti. Bunu, 1977 tarihli Uluslararası Acil Ekonomik Yetkiler Yasası (IEEPA) kapsamında kendisine tanınan yetkilere dayanarak ve uluslararası ticaret ilişkilerinde mütekabiliyet eksikliği, kur manipülasyonu ve yüksek katma değer vergisi (KDV) gibi hususların ABD ekonomisine zarar veren politikalar olduğunu belirterek, 02.04.2025 tarihinde yayımladığı kararname ile tüm ülkeleri kapsayacak şekilde yeni gümrük tarifelerini yürürlüğe koydu. Böylece hem modern iktisat tarihinin en ilginç dönemi hem de küresel ticarette daha önce eşi az görülmüş yüksek gümrük vergili dönemi başlamış oldu.
Hangi ülkeye ne kadar ek gümrük vergisi getirildi?
5 Nisan'dan itibaren, tüm ülkelerden yapılan ithalatlara %10'luk bir temel gümrük vergisi uygulanacağı belirtiliyor. Ayrıca, "ABD ticaretine en çok zarar verenler" grubundaki (örneğin; AB ülkeleri) birçok ülkeden yapılan ithalatlarda, 9 Nisan'dan itibaren gümrük vergileri daha da artıyor. Örneğin; Avrupa Birliği’ne %20, Çin’e %34, Vietnam’a %46, Tayvan’a %32, Japonya’ya %24, Hindistan’a %26, Güney Kore’ye %25 şeklinde ek gümrük tarifeleri uygulanacak. Söz konusu ek vergiler ‘ad valorem’ yani nispi olarak ve aksi belirtilmedikçe diğer tüm vergilere, harçlara, ücretlere veya kesintilere ek olarak uygulanacak. Ancak; demir, çelik, otomotiv ile otomotiv aksam ve parçalarına söz konusu temel ek gümrük vergileri uygulanmayacak. ABD tarafından tüm ülkelere uygulanacak %10’luk ek tarifeye Türkiye de tabii olacak.
Buna ilave olarak ABD, 3 Nisan itibarıyla yabancı otomobiller ve otomotiv parçaları ithalatına %25'lik bir tarife uygulanacağını açıkladı. Bahse konu %25’lik ek gümrük vergisi; binek araçlar, hafif ticari araçlar ve bunların yedek parçalarına uygulanacak. USMCA Serbest Ticaret Anlaşması kapsamındaki araç ithalatlarında ise, ithal eşyanın bünyesindeki ABD menşeli girdilerin, menşei tevsik edilmesi halinde, yalnızca ABD menşeli olmayan girdilere ek vergi getirilecek.

Bahsi geçen bu vergiler, mütekabiliyet gümrük vergileri (reciprocal tariffs) olarak adlandırılıyor. 5 Nisan 2025 tarihinden önce karşı limandan yüklenmiş, transit halinde veya antrepoda/limanda bulunan mallar için söz konusu olan ek vergiler, 9 Nisan 2025 tarihinde saat 12.01'den (ABD Doğu Saati) itibaren uygulanmaya başlanacak.
Hesaplamalar nasıl yapıldı?
Ek gümrük vergileri hesaplanırken temel yaklaşımın, ikili ticaret açıklarını sıfıra indirecek tarife oranları olduğu söylenebilir. Uluslararası ticaret modelleri genellikle ticaretin zamanla kendini dengeleyeceğini varsaysa da ABD son yıllarda sürekli cari açıklar veriyor; bu durumda ABD, evrensel çoğu ticaret modelinin temel varsayımının yanlış olduğunu savunuyor. Ayrıca, her bir ülkedeki on binlerce tarifenin, düzenleyicinin, verginin ve diğer politikaların ticaret açığı etkilerini münferit olarak hesaplamak karmaşık hatta imkânsız olsa da bu politikaların birleşik etkileri, ikili ticaret açıklarını sıfıra indiren tarife seviyesini ele alarak bir hesaplamanın yapılacağı dikkate alınıyor.
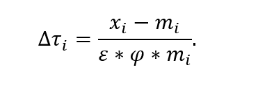
Bu yaklaşım ile aşağıdaki formül oluşturuluyor ve her bir ülke için bu formül uygulanıyor:

Bu denklem; ithalat esnekliği, tarifelerin ithalat fiyatlarına geçiş oranı ve ithalat ile ihracat seviyelerini dikkate alarak sıfır ikili ticaret dengesi sağlayacak şekilde karşıt bir tarifeyi temsil ediyor. Bu formül, ülkelerin dış ticaret açığının ABD’ye ihracat rakamındaki payının ikiye bölünmesi şeklinde özetlenebilir. Eğer sonuçta ortaya çıkan rakam %10’un altındaysa en az %10 temek ek gümrük vergisinin esas alınacağı belirtiliyor.
Örneğin; ABD’nin Çin'den aldığı malların toplam değeri 440 milyar dolarken, Çin'e sattığı malların değeri sadece 145 milyar dolar. Bu, 295 milyar dolarlık bir ticaret açığı anlamına geliyor. 295 rakamı 440'a bölündüğünde %67 bulunuyor. Bunu ikiye bölüp yukarı yuvarladığımızda ise %34 elde ediliyor. Bu nedenle, Çin'e uygulanan tarife %34 oluyor. Yine bu şekilde hesaplama AB için yapıldığında %20 oranına ulaşılıyor. Türkiye için ise oran %10 olarak karşımıza çıkıyor.
Bazı ülkeler için ise bu formülden bağımsız %10 minimum vergi uygulandığı görülüyor. Örneğin, ABD'nin İngiltere ile ticaret açığı bulunmuyor. Ancak yine de İngiltere'ye%10 gümrük vergisi uygulanacak.
Ek tarifeleri fırsata çevirmek için neler yapılmalı?
ABD’nin ek gümrük vergilerine yönelik yaklaşımı tüm dünyadaki ticareti etkileyecek gibi görünüyor. Korumacılık ve ithal ikameci bu yaklaşım, önümüzdeki dönem liderlerin temel gündemlerinden biri olacak. Bu vergilere karşı her bir ülkeye mütekabiliyet kuralları gereği hangi vergi oranının tatbik edileceğinin, temel tartışma konusu olacağı aşikâr. Yüksek oranda ek gümrük vergileri tatbik edilen ülkeler açısından gerçekten ciddi bir ek maliyet söz konusu olacak. ABD pazarını korumak adına birçok yatırım tekrar gözden geçirilecek. Şirketlerin daha az vergi tatbik eden ülkelerde üretim yapma çabası daha da artacak. Bu noktada üretilen ürünün menşe kazanımı daha da önemli olacak. Sonuç olarak, bu durum uluslararası ticaret ilişkileri ve tedarik zincirleri alanında değişikliklere yol açacak. Bu bakış açısıyla yeni döneme ticaret savaşı değil de “menşei savaşı” denilse daha doğru olacak.
Türkiye’nin bu savaşın bir parçası olmadığını her zaman ifade ediyoruz. Uygulanan ek vergiler de bunu teyitler nitelikte. Öncelikle en az tatbik edilen oran yani %10’luk bir ek vergi ülkemizin lehine bir durum. Ama bunun lehimize olmasının sebebinin biraz da ek vergi hesaplama formülü olduğunu söylemek gerekiyor. Çünkü formül, ticaret açığı ve ihracat rakamı odaklı oluşturulmuş. Şayet formül ABD’ye tatbik edilen gümrük vergi oranları olsaydı birçok sektör açısından durum çok daha kötü olabilirdi. Örneğin; ABD menşeli otomobillere %60 ek mali yükümlülük tatbik ediyoruz. Bu oran dikkate alınsaydı bu sektör için bir fırsatı hiç konuşamıyor olacaktık. Ancak şimdi rakip ülkelere göre bu sektör avantajlı bir vergi oranına sahip ve bu sektör için AB ve Çin açısından ciddi bir avantaj durumu ortaya çıktığı görülüyor.
Sonuç olarak, hesaplamadan kaynaklı avantajlı ek vergi oranlarını ABD pazarında nasıl lehimize kullanmamız gerektiğine odaklanmamız gerekiyor. Bu noktada, ABD pazarına ihracat yapan Çin ve AB şirketlerine bu avantaj anlatılmalı ve bu şirketler bunu dikkate almalı. Birçok projenin ve yeni yatırımların ülkemizde olması ve bu ürünlerin Türk menşei kazanmasıyla, avantajlı vergi oranı ile ihracat yapma imkânı elde edilebilecek.